RESOURCES
与单晶或多晶Ga2O3相比,非晶Ga2O3材料具有明显的成本优势。本研究开发出了一种具有超高性能和栅极可调光检测能力的非晶Ga2O3日盲场效应光电晶体管,并对其光电性能进行了全面调研。射频磁控溅射用于在经济的Si/SiO2衬底上沉积非晶GaOx薄膜。通过施加适当的背栅电压(VG),可以很好地控制场效应光电晶体管的光电性能和暗电流。制成的日盲型GaOx薄膜场效应光电晶体管具有出色的深紫外光光电探测特性,包括4.1×103 AW-1的超高光敏性,2.5×1013 Jones的高探测率,以及极高的外量子效率。在70 µW cm-2的254 nm的弱光照下,外量子效率为2×106%,光电导增益为1.6×107。还揭示了光检测特性取决于偏置电压和光强度。另外,成功地展示了GaOx光电晶体管作为感测像素的日盲成像功能。获得了目标的清晰图像,这是有关非晶GaOx 探测器日盲成像的始发报道。这些结果,加上其易于制造和低成本,使得该日盲非晶GaOx薄膜场效应光电晶体管有望用于下一代光电成像应用。
栅极可调非晶Ga2O3薄膜光电晶体管器件结构
栅极可调光检测能力的非晶Ga2O3日盲场效应光电晶体管如图1所示。为了确定非晶GaOx膜的特性,进行了X射线衍射(XRD),扫描电子显微镜(SEM)和原子力显微镜(AFM)测量,实验表明,沉积的GaOx膜具有平坦表面和高均匀性。
图1.非晶态GaOx薄膜场效应光电晶体管的结构示意图和非晶态GaOx薄膜的物理特性。(a)制成的GaOx光电晶体管的横截面图像(b)溅射沉积的非晶态GaOx薄膜的X射线衍射曲线,(c)截面扫描电子显微镜图像,(d) 二维原子力显微镜图像。
非晶Ga2O3薄膜光电晶体管的电光响应特点
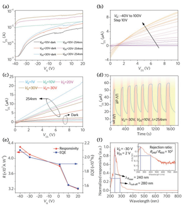
图2(a)展示了溅射非晶GaOx薄膜的O1s轨道能级的X射线光电光谱光谱(XPS)。根据高斯拟合分析法,O1s峰通常可以分为三个分量:O?,O??,和O???。峰面积用于表征每种成分的强度,强度比经计算为O??/(O?+O??)=59.3%,这表明溅射非晶GaOx膜中存在许多氧空位。为了进一步表征溅射非晶GaOx膜的材料特性,一种具有Au(50nm)/Ti(20nm)GaOx(200nm)/Ti(20nm)/Au夹心金属-绝缘体金属结构的器件(50nm)被制造并且在黑暗中测量其电特性。使用空间电荷限制电流(SCLC)模型拟合I-V曲线,并计算非晶态GaOx膜的缺陷密度和载流子迁移率。如图2(b)所示,双对数I-V曲线可分为三种状态:1)欧姆区域,斜率为1;2)陷阱填充区域,斜率超过3;以及3)无陷阱区域,斜率为2。
图2. 溅射非晶GaOx膜的X射线光电光谱光谱和基本电学特性。(a) XPS O1s核心级光谱,(b)黑暗环境下双对数坐标的I-V曲线以及与空间电荷限制电流(SCLC)模型的拟合。插图显示了测试结构的横截面图。
为了探索非晶GaOx薄膜光电晶体管的光电特性,在254 nm 深紫外光光照射下进行了光电性能测量,如图3所示。在测量过程中,重复打开和关闭深紫外光,器件在重复操作过程中显示出出色的可重复性和稳定性。上升时间τr和衰减时间τd分别为50秒和400秒以上。通过比较这些值,我们绘制了响应度和EQE作为VG的函数,如图3(e)所示。显然,当VG从−40 V增加到20 V时,R和EQE减小,这表明了VG对光电性能的出色调制能力,实际应用中,关注的工作机制是GaOx光电晶体管的耗尽区域。图3(f)显示在VG=−30 V和VDS = 2 V时该器件的归一化光谱响应。该器件在约240 nm处达到其峰值响应度。截止波长为280nm。紫外线/可见光的拒绝比率(R240/R400)约为1×102,这表明光电探测器对日盲紫外线具有相对较高的光谱选择性。
图3. 非晶态GaOx薄膜光电晶体管的电气和光电特性。(a)不同VDS下测得的IDS-VG传输特性。(b) 暗环境下,IDS-VDS的输出特性 (c)在不同VG下测得的IDS-VDS输出特性。(d)随时间变化的光响应。(e)在不同的VG下的响应度(R)和外部量子效率(EQE)。(f)归一化的光谱响应度。插图显示了对数标度的响应光谱。
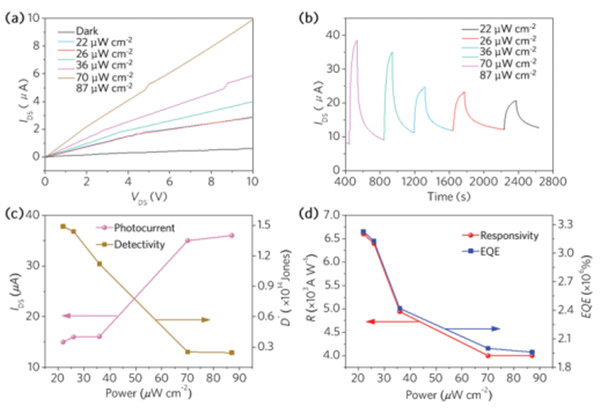
除了栅极电压以外,光响应特性还受光强度的影响,如图4(a)所示,光电流随着光强度的增加而增加。此外,研究了不同光强度下随时间变化的光响应特性,图4(b),同时,在随时间变化的光响应曲线中,还发现光电流随着光强度的降低而降低。如图4(c)所示,随着光强度从22 µW cm-2增加到87 µW cm-2的探测率,响应度和EQE降低,与以前的报道相似。这种现象可能部分归因于热效应引起的载流子散射,部分归因于非晶GaOx薄膜在高光强度下的吸收饱和。
图4.光强度对光电性能的影响。(a)在不同光强度下IDS-VDS特性。(b)在不同光强度下器件随时间变化的光响应。(c)光电流和探测率为光强度的函数。(d)响应度和EQE与光强度的关系。
基于非晶Ga2O3薄膜光电晶体管的成像验证
为了验证成像感测功能,使用非晶GaOx薄膜光电晶体管作为感测像素,实现了投影到日盲成像系统上的光学图案的识别。成像系统的示意图如图5(a)所示。GaOx光电探测器被用作单点状成像元件以检测深紫外光光。由于所制造的非晶态GaOx光电探测器的超高性能和出色的稳定性,获得了清晰的字母“CAS”图像。图5(d)红色虚线的灰度值,表明通过将非晶GaOx光电晶体管用作感测像素可以实现具有高保真度的清晰图像。这些结果为制备用于实时成像的Ga2O3成像阵列铺平了道路,并使Ga2O3 深紫外光光电探测器成为将来有前景先进光电系统的组成部分。
图5. 非晶态GaOx薄膜光电晶体管的日盲UV成像。(a)使用基于非晶Ga2O3的光电晶体管作为感应像素的日盲成像系统的示意图。(b)在光罩上带有字母“ CAS”的物体图像。(c)从日盲成像系统获得的图像。(d)沿(c)中标记的线的灰度值。
结论
本研究中的非晶GaOx薄膜光电晶体管的主要参数,例如响应度,探测率,外量子效率和光电导增益,均比基于二维 β-Ga2O3纳米片、Ga2O3纳米带、以及Ga2O3纳米线和微米线探测器好得多。此外,非晶GaOx光电晶体管还比基于薄膜Ga2O3的MSM PD表现出更好的性能。如此高的性能以及低成本和易于制造的工艺,使得非晶GaOx薄膜光电晶体管在未来的光电系统中具有很大的潜力,可用于阵列光电探测器和成像器。
中国科学技术大学龙世兵教授课题组简介
课题组主要从事宽禁带半导体氧化镓材料的生长,器件开发,包括电力电子器件以及紫外探测器件,功率器件模组以及成像系统的开发。主要期望通过优化器件结构的设计,以及完善工艺开发,制备更高性能的功率器件和深紫外探测器件,实现更高的击穿电压,更低的导通电阻,更高的响应度和更快的响应速度等。截止目前,龙世兵教授主持国家自然科学基金、科技部(863、973、重大专项、重点研发计划)、中科院等资助科研项目15项。在Adv. Mater., ACS Photonics,IEEE Electron Device Lett.等国际学术期刊和会议上发表论文100余篇,SCI他引6300余次,H指数44。获得/申请 100余项,其中9项转移给国内大的集成电路制造企业中芯国际,74项授权/受理发明 许可给武汉新芯。
文章信息
这一成果以“Amorphous Gallium Oxide-Based Gate-Tunable High-Performance Thin Film Phototransistor for Solar-Blind Imaging”为题发表在Advanced Electronic Materials上, 中国科学技术大学覃愿为作者,龙世兵教授为通讯作者。
文章信息:Advanced Electronic Materials, 2019, 5, 1900389.
免责说明
北京快盈lV仪器有限公司公众号所发布内容(含图片)来源于原作者提供或原文授权转载。文章版权、数据及所述观点归原作者原出处所有,北京快盈lV仪器有限公司发布及转载目的在于传递更多信息及用于网络分享。
如果您认为本文存在侵权之处,请与我们联系,会及时处理。我们力求数据严谨准确,如有任何疑问,敬请读者不吝赐教。我们也热忱欢迎您投稿并发表您的观点和见解。
Copyright ? 2020 Zolix .All Rights Reserved 地址:北京市通州区中关村科技园区通州园金桥科技产业基地环科中路16号68号楼B.
ICP备案号:京ICP备05015148号-1
公安备案号:京公网安备11011202003795号