RESOURCES
日盲光电探测器对波长在220-280 nm范围内的光敏感,在军事和商业领域都有着广泛的应用,例如光学追踪、光通信和成像。得益于优越的材料和电学特性,包括良好的热学和化学稳定性、优异的抗辐照性能以及直接对应日盲区域的光探测波长,宽禁带半导体材料具备更显著的优势。在过去的几年里,由于Ga2O3相关材料的优异的抗辐照特性、良好的热稳定性以及4.7-5.3 eV直接对应于日盲波段的超宽禁带宽度,已经引起了广泛的关注。目前,几乎所有关于Ga2O3 PDs的研究都是基于a-或β-Ga2O3材料,然而,探测器的光电性能不尽如人意,并且增益机制尚未分析确定。因此,ε-Ga2O3的材料和光电特性有待进一步研究。
本工作研究了基于通过MOCVD方法在蓝宝石衬底上生长的ε-Ga2O3外延薄膜制备的高性能MSM SBPDs。该MSM ε-Ga2O3 PDs展现出诸如230 A/W的响应度和1.2×105的抑制比(R250 nm/R400 nm)等优异的日盲光电探测性能。此外,该器件的外量子效率(EQE)很高(1.13×105%)、探测率高(1.2×1015 Jones)、恢复速度快(24 ms),表明其具有很高的灵敏度和对极弱信号的探测能力。重要的是,本文基于电流输运特性和密度泛函理论(DFT)解释了MSM ε-Ga2O3 SBPD的增益机制。这些结果表明ε-Ga2O3具备在未来应用于日盲光敏和成像领域的潜能。
MSM ε-Ga2O3 SBPD 电流输运机制研究
图1.(a)MSM ε-Ga2O3 SBPD的结构示意图。(b)在不同温度下暗场中I-V曲线。(c)ln(J)/V和(d)ln(J/E)/E1/2随温度的变化曲线(e)参数c(T)和1/T的关系曲线及其线性拟合。(f)MSM ε-Ga2O3 SBPD能带图中TFE和PFE的示意图。
MSM ε-Ga2O3 SBPD的结构示意图如图1(a)所示。指电极由20/50 nm Ti/Au组成,薄膜的禁带宽度为4.9 eV。如图1(b)利用在黑暗环境下温度依赖的电流-电压(I-V-T)特性来探究电流输运机制,I-V-T曲线可以分为两种状态:一个是低电场状态,电流随偏压呈指数增长;另一个是高电场状态,电流对电压的依赖关系不明显。
在图1(c)中可以看出,在低偏压下TFE机制应该是主要的暗电流输运机制。在大电场下的I-V特性表现出对偏压的弱依赖关系,运用Poole-Frenkel emission(PFE)模型可以解释该情况下可能的电流输运机制。图3(d)是ln(J/E)作为E1/2的函数曲线,PFE是大电场下主导的电流输运机制。如图1(e)中曲线的斜率可以得到,ε-Ga2O3缺陷和导带之间的发射势垒高度为0.67 eV。图1(f)给出了制备的PDs的能带结构中的TFE和PFE机理的示意图。
MSM ε-Ga2O3 SBPD 的光电响应特性
图2.(a)在不同条件下半对数坐标中器件的I-V特性。(b)光电流和PDCR,(c)R和D*对光强的依赖关系。(d)MSM ε-Ga2O3 SBPD的R和D*随波长的变化曲线。插图为器件的归一化光谱响应曲线。
图2(a)为黑暗条件和254 nm光照下刚制备好的PDs的I-V特性曲线,响应度为230 A/W。这一结果与高PDCR表明MSM ε-Ga2O3 SBPD具有高的效率和灵敏度。探测率为1.2×1015 Jones,表明该器件具实现高信噪比的能力。EQE为1.13×105%。在不同光强下,上述指标的变化趋势如图2(b)和(c)所示。图2(d)为半对数坐标中6 V偏压下R和D*随波长变化的曲线,插图为制备的PD的归一化响应光谱。可以看出响应光谱的截止波长为270 nm,器件表现出显著的日盲光电探测特性。器件的抑制比为1.2×105。以上均表明MSM ε-Ga2O3 SBPD对日盲波段的光具有高灵敏度。
在室温下,不同偏置电压下MSM ε-Ga2O3 SBPD的光谱响应曲线如图3所示。提取光谱响应曲线的峰值响应度,作为V1/2的函数重新绘制在图4中。由图可知,R随V1/2的增加而指数增加。该器件得到的高增益和大响应度、外量子效率表明MSM ε-Ga2O3 SBPD中存在很高的内部增益机制。
图3.不同偏压下,半对数坐标中MSM ε-Ga2O3 SBPD的光谱响应曲线。
图4. 响应光谱的峰值响应度作为V1/2的函数曲线。
MSM ε-Ga2O3 SBPD 的增益机制研究
图5.(a)在不同条件下器件的I-V曲线。(b)MSM ε-Ga2O3 SBPD的能带示意图。(c)不同温度下势垒高度作为(Vbi-V)的函数。(d)被占据的缺陷态密度的Arrhenius图。
图6. MSM ε-Ga2O3 SBPD的I-V曲线对温度的依赖关系。
图7.光电流和响应度随温度的变化曲线。
MSM ε-Ga2O3 SBPD 的时间响应特性
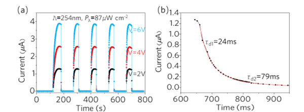
图8.(a)不同偏压下,PD的I-T曲线。(b)Pλ=87 μW/cm2、V=6 V时I-T曲线放大的下降沿。
图8(a)显示了不同偏置电压下光电特性随时间的变化,器件对波长254nm的光照具有良好响应、再现性和稳定性,在重复开关光源时器件衰减速度很快。为了获得更准确的恢复时间,将该瞬时响应的衰减阶段放大后绘制在图8(b)中。MSM ε-Ga2O3 SBPD器件的衰减时间τd1和τd2分别为24和79 ms。这两个值与之前报道的Ga2O3光电探测器相比有明显提高。
相较于之前的Ga2O3光电探测器,MSM ε-Ga2O3 SBPD展现了更为良好的综合性能,其中包括基于MSM结构实现的当前高的响应度(230 A/W)和抑制比(R250 nm/R400 nm)为1.2×105,高的归一化探测率,光暗电流比,低暗电流和短的下降时间。
ε-Ga2O3 薄膜第一性原理计算研究
图9.(a)ε-Ga2O3中三种不等价氧的能带结构图。蓝色和红色的值分别表示禁带宽度和价带顶上部的氧空位引入的缺陷能级。(b)三种不等价氧,(c)间隙/替位杂质H和(d)间隙/替位杂质Cl 引入的缺陷能级态密度。
图10. ε-Ga2O3薄膜的阴极发光光谱。
图11. ε-Ga2O3的能带图。
为了进一步研究ε-Ga2O3薄膜禁带中的缺陷态,采用Vienna Ab initio和projector-augmented wave进行DFT计算。采用Armiento-Mattsson 2005(AM05)泛函中的广义梯度近似来计算交换相关能。采用了基于GGA+U基态的shGGA-1/2方法计算电子结构,结果得到禁带宽度为4.49 eV。本文中计算了ε-Ga2O3中三个不等价氧的氧空位形成能,并在图9(a)和(b)中分别绘制了带氧空位的能带图和态密度。图9(b)表明氧空位的形成会在禁带中央引入缺陷态,在这些缺陷态处电子被高度局域。ε-Ga2O3薄膜的阴极发光光谱证实了缺陷态的存在,如图10所示。
此外,本文研究了氢和氯掺杂有关的缺陷态,在图9(c)中可以观察到,深能级缺陷状态可以被氢钝化,得到Ga2O3中的一个浅层施主。MSM ε-Ga2O3 SBPD快速的响应速度归功于这些缺陷能级的钝化。同样地,如图9(d)所示,Cl作为间隙杂质时,将在ε-Ga2O3的带隙中引入位于VBM上方的两个缺陷能级。当Cl作为替位杂质,缺陷移动到导带底(CBM),但在价带顶(VBM)附近仍然存在深能级缺陷态。图11给出了ε-Ga2O3能带图。
中国科学技术大学龙世兵教授课题组简介
课题组主要从事宽禁带半导体氧化镓材料的生长,器件开发,包括电力电子器件以及紫外探测器件,功率器件模组以及成像系统的开发。主要期望通过优化器件结构的设计,以及完善工艺开发,制备更高性能的功率器件和深紫外探测器件,实现更高的击穿电压,更低的导通电阻,更高的响应度和更快的响应速度等。截止目前,龙世兵教授主持国家自然科学基金、科技部(863、973、重大专项、重点研发计划)、中科院等资助科研项目15项。在Adv. Mater., ACS Photonics,IEEE Electron Device Lett.等国际学术期刊和会议上发表论文100余篇,SCI他引6300余次,H指数44。获得/申请 100余项,其中9项转移给国内大的集成电路制造企业中芯国际,74项授权/受理发明 许可给武汉新芯。
这一成果以Metal−Semiconductor−Metal ε?Ga2O3 Solar-Blind Photodetectors with a Record-High Responsivity Rejection Ratio and Their Gain Mechanism”为题发表在ACS Photonics期刊上。中国科学技术大学覃愿为作者,龙世兵教授为通讯作者。
文章信息:ACS Photonics, 2020, 7,3, 812-820。
本研究采用的是北京快盈lV仪器有限公司“DSR600 光电探测器光谱响应度标定系统”,如需了解该产品,欢迎咨询我司。
免责说明
北京快盈lV仪器有限公司公众号所发布内容(含图片)来源于原作者提供或原文授权转载。文章版权、数据及所述观点归原作者原出处所有,北京快盈lV仪器有限公司发布及转载目的在于传递更多信息及用于网络分享。
如果您认为本文存在侵权之处,请与我们联系,会及时处理。我们力求数据严谨准确,如有任何疑问,敬请读者不吝赐教。我们也热忱欢迎您投稿并发表您的观点和见解。
Copyright ? 2020 Zolix .All Rights Reserved 地址:北京市通州区中关村科技园区通州园金桥科技产业基地环科中路16号68号楼B.
ICP备案号:京ICP备05015148号-1
公安备案号:京公网安备11011202003795号