EN
首页 > 产品 > 科学分析仪器 > 荧光光谱/超快光谱 > OmniFluo960-IR近中红外荧光光谱系统

OmniFluo960-IR近中红外荧光光谱系统

快盈lV针对近中红外发光材料的测量需要,提供一整套包含激发源及配套的滤光片组,样品仓,发射光谱仪,数据采集器的一整套近中红外荧光光谱系统,能够实现材料的稳态、瞬态发光光谱测量。
产品咨询
资料下载
产品概述


近中红外荧光光谱系统

近中红外具体指哪个波段?

红外波,是电磁频谱中的重要组成部分。相较于我们常说的可见光波段,是人眼所无法看到的成分。红外辐射覆盖从700nm到1mm的范围,常见地按照波段进行区分,红外分为以下几个部分:近红外(0.75-1.4μm)、短波红外(1.4-3μm)、中红外(3-8μm)、长波红外(8-15μm)、远红外(15-1000μm),所以近中红外区我们大致概括为700nm到8μm范围。

红外与电磁波谱的关系

波段

波长范围

应用领域

近红外

0.75 - 1.4μm

材料科学、光纤通信,医学领域

短波红外

1.4 - 3μm

电信和军事应用

中红外

3 - 8μm

化学工业和天文学

长波红外

8 - 15μm

天文望远镜和光纤通信

远红外

15 - 1000μm

通常用于癌症治疗

不同红外区的波段及应用

近中红外荧光材料的典型应用——近中红外激光晶体

Er:YAG和Cr,Er:YAG激光晶体棒的图片

由于3μm中红外波段激光在军工领域、激光理疗设备及环境监测等领域有着重要的应用前景,稀土离子掺杂的固体激光材料因此得到广泛关注及大量研究。

较早被研究的材料有基于808nm、980nm激光器激发的Er3+的2.7μm发射(4I11/2-4I13/2跃迁),随着半导体激光器在短波长逐渐成熟,衍生出了Ho3+离子掺杂的LiYF4,使用640nm的激光激发可产生1.2μm(5I6-5I8),2.0μm(5I7-5I8),2.8-3μm(5I5-5I7)均具有较强的荧光,再有硫系玻璃如Ho3+掺杂的Ge-Ga-S-CsI玻璃,在900nm激发下能够发射2.81μm(5I6-5I7)和3.86μm(5I5-5I6)。

近中红外客户案例与实测数据

1)掺铒微晶玻璃的中红外荧光光谱

在众多激光玻璃材料中,由于Er离子掺杂的氟化物玻璃具有较低的声子能量、优异的中红外透过特性、较高的激光损伤阈值,因此它是目前实现2.7μm波段光纤激光器的候选材料并备受关注,其2.7μm波段发光源于Er3+离子的4I11/2-4I13/2跃迁。

采用快盈lV中红外荧光测试系统,系统组成:980nm激光器、Omni-λ5015i影像校正型红外单色仪、红外镀金反射式样品室、液氮制冷型InSb探测器(光谱响应范围1-5.5um)。

掺铒中红外荧光微晶玻璃

PL谱测试结果,发射峰在2.7μm左右。


2)近中红外荧光光谱系统

配置808nm,980nm激光器掺Er离子样品发射在1550nm,2730nm左右。



3)近中红外荧光光谱系统




PbS量子点ns寿命测量及时间分辨荧光光谱

碲酸盐玻璃掺杂硫酸锌

YAG:Er晶体

系统性能及指标

稳态测试

发射光谱:1-5.5μm(选配探测器拓宽光谱范围)

瞬态测试

荧光寿命衰减尺度:μs-ms-s(需配置示波器,具体视激发光源而定)

激发光源

连续激光

808nm、980nm、1064nm、1550nm、1940nm等

OPO可调谐激光器

可选输出范围:3000-3450nm,2700-3100nm,650-2400nm,410-2400nm,210-2400nm。重复频率:20Hz,脉冲:≤6ns,mJ级别的单脉冲能量

纳秒固体激光器

2940nm,1064nm,532nm等

光路切换

外置3路激光切换装置,通过推拉装置进行光路切换,无需移动或调整激光

样品仓

结构

红外专用镀金反射式样品仓,带两个激光吸收阱,带高通滤光片插槽

样品架

标配:液体、粉末、薄膜样品架

光谱仪

光路结构

Czerny-Turner(CT)光路设计,焦距:320mm,杂散光:1*10-5

光栅配置

配置三块进口光栅,尺寸:68mm×68mm

光子计数型探测模块

近红外光电倍增管

950-1700nm,TE制冷型,制冷温度:-60℃,最小有效面积Ø 1.6mm,增益:1×106,阳极暗计数:2.5×105,阳极脉冲上升时间:0.9ns

近红外光电倍增管

300-1700nm,液氮制冷型,制冷温度:-80℃,最小有效面积3×8mm,增益:1×106,阳极暗计数:2.5×105,阳极脉冲上升时间:3ns

单光子计数器

计数率:100Mcps,采样速率:1MB/S,四通道模拟输入:1-10V,通道数:10000

时间相关单光子计数器

计数率:100Mcps,分辨率:16/32/64/128/256/512/1024ps,通道数:65535

模拟信号型探测模块

TE-InGaAs探测器

800-1700nm,TE制冷型,制冷温度:-40℃,光敏面直径:3mm,峰值响应度:0.9 A/W,配置温控器及前置放大器,温度稳定度:±0.5℃,信号输出模式:电流

TE-InGaAs探测器

800-2600nm,TE制冷型,制冷温度:-40℃,光敏面直径:3mm,峰值响应度:1.2 A/W,配置温控器及前置放大器,温度稳定度:±0.5℃,信号输出模式:电流

LN-InSb探测器

1-5.5μm,液氮制冷型,制冷温度:77K,光敏面尺寸:Ø2mm,峰值响应度:3A/W,配置前置放大器,信号输出模式:电流

LN-MCT探测器

2-12μm(另有14μm、16μm、22μm选项),液氮制冷型,制冷温度:77K,光敏面尺寸:1×1mm,峰值响应度:3x103V/W,配置前置放大器,信号输出模式:电压

锁相放大器

参考信号通道,频率范围:50mHz至102kHz,输入阻抗:1MΩ/25pF,输入信号类型:方波或正弦波,相位分辨率:0.01°,相位漂移:低于10kHz <0.1°/℃;高于10kHz:<0.5°/℃

斩波器

频率范围:标配20~1KHz( 10孔),30~1.5KHz(15孔),60~3KHz(30孔),TTL/COMS电平输入输出,频率稳定性:250ppm/℃,频率漂移:<1%,输入输出连接器:BNC

时序控制器

可编程延时发生器

脉冲通道个数:6个,一个T(时钟基准),其他为CH1-CH5,单个脉冲周期:最小值100ns(10MHz),最大值1s(1Hz),单个脉冲宽度:≥50ns,脉冲延迟:100ns-1s(基于T通道时钟),脉冲输出高电平:T,CH1-CH2:5±0.5V/20mA;CH3:4.5V±0.5V/100mA(适用于50Ω输入阻抗外设);CH4-CH5:3.3±0.5V/高阻,分辨率:1μs,上升时间:4-6ns

电源:USB供电:5V/500mA,通讯接口:USB2.0,输出接口:SMA

示波器

示波器

模拟带宽:500 MHz,通道数:4+ EXT,实时采样率:5GSa/s(交织模式),2.5GSa/s(非交织模式),存储深度:250Mpts/ch(交织模式),125 Mpts/ch(非交织模式)

电脑及软件

标配电脑

 

标配操作系统

Windows系统

Omni-Win控制软件

稳态测试功能:激发扫描,发射扫描,同步扫描,三维扫描

瞬态测试功能:动力学扫描,寿命扫描,时间分辨光谱扫描

可选功能:温度控制扫描

光学平台

 

阻尼隔振光学平台

尺寸(L×W×H):1500mm×1000mm×800mm

阻尼隔振光学平台

尺寸(L×W×H):1800mm×1200mm×800mm

 

相关文章成果

液氮制冷型MCT检测器

1.基于全光纤结构的2-6.5μm红外高能量超连续光源输出光谱测量[1]

   (a) 不同长度的As2S3光纤输出光谱测量; (b) 4m As2S3 光纤在不同输入光能量下的输出光谱

2、PPLN晶体中通过温度调谐自由差频产生的连续波2.9-3.8μm 随机激光光谱测量[2]

    2.9μm-3.8μm可调谐中红外随机激光光谱测量

液氮制冷型InSb检测器

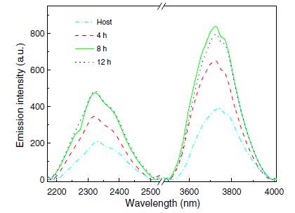
1、中红外发光硫卤玻璃陶瓷中红外发光研究[3],通过引入Ga2S3纳米晶,极大增强了硫卤玻璃陶瓷位于2.3和3.8μm处的中红外发光强度。下图为440℃不同热处理时间下的硫卤玻璃陶瓷中红外发射光谱测试,浅蓝曲线为主体玻璃陶瓷的发光。

硫卤玻璃陶瓷中红外发射光谱

2、能量转移相关的Ho3+掺杂Yb3+敏化氟铝酸玻璃的中红外2.85μm发光研究[4]

Ho3+/Yb3+ 掺杂氟铝酸玻璃的中红外荧光光谱

 

TE制冷型InGaAs检测器

Bi:CsI晶体的超宽近红外发光光谱[5]

300K不同激发波长下Bi:CsI 晶体的近红外发光光谱

参考文献:

【1】Bin Yan etal, Optics Express, Vol. 29, No. 3

【2】Bo Hu etal, Science China-Information Sciences , August 2023, Vol. 66

【3】Shixun Dai etal, Journal of Non-Crystalline Solids 357 (2011) 2302–2305

【4】Beier Zhou etal,Journal of Quantitative Spectroscopy & Radiative Transfer, 149(2014)41–50

【5】Liangbi Su etal, OPTICS LETTERS , Vol. 36, No. 23, December 1, 2011