EN

资源

RESOURCES

基础知识


太阳常数和大气质量

 

太阳常数和大气质量是描述太阳辐射与大气吸收情况的物理量。在地球大气层上界,与阳光垂直的单位面积上,单位时间所得到的太阳总辐射能量叫做一个太阳常数。国际标准中将太阳看成不变的光源,并且不考虑大气吸收的影响,则一个太阳常数的标准值为1367W/m2。
 

在地面上任何地方都不能排除大气吸收对太阳辐射的影响,因此引入大气质量(air mass,AM)的概念。


 

可以看出,当太阳高度角为90°时,海平面处大气质量为AM 1 ;外层空间不通过大气的情况为AM 0 ;通常,接近人类生活现实的太阳高度角48.2°的情况为AM 1.5。由于当太阳光照射到地表时,由于大气和地面存在散射、折射等因素,故针对于地表光谱辐照度分布有AM 1.5G 与AM 1.5D 的区别。其中,AM 1.5G 为包括有散射、折射等的太阳光谱辐照度分布,而AM 1.5D 为只包括直射的太阳光谱辐照度分布。通常,地面用光伏器件测试使用的光谱辐照度用AM 1.5G 光谱为标准。
 

● 标准测试条件和标准太阳能电池

 

为了使太阳能电池或组件的光伏性能测试具有可比性,太阳光伏能源系统标准化技术委员会规定了标准测试条件。如果不是在标准条件下进行测试,必须将所测数据修正到标准测试条件。
 

地面用太阳能电池的标准测试条件是:测试温度25℃,光源的光谱辐照度为1000W/m2,并具有标准AM 1.5 太阳光谱辐照度分布。
 

航天用太阳能电池的标准测试条件是:测试温度25℃,光源的光谱辐照度为1367W/m2,并具有标准AM 0 太阳光谱辐照度分布。
 

由于太阳能电池的响应与入射光的波长有关,入射光的光谱分布将严重影响所测太阳能电池的性能。为了减小测量的误差,需选用具有与被测电池基本相同光谱响应的标准太阳电池来调整光源的辐照度。因此,使用具有不同光谱响应范围的标准太阳电池,通过标定在标准测试条件下的短路电流,即可调整I-V 测试系统光源的总辐照度。同时,如果标准太阳电池已经标定出绝对光谱响应曲线,则其也可以用于太阳能电池光谱响应或量子效率的测试。

标准太阳能电池的标定值,必须每年由权威机构标定一次,以确保其准确性。QE

光伏电流-电压特性测试(I-V特性测试)及参数


太阳能电池是直接把光能转换成电能的光伏器件,对电池性能的评估主要是以其光电转换性能为准。I-V 特性测试是*直接的给出太阳能电池光电性能参数的测试。


参数主要包含以下几个方面:
 

短路电流ISC


当太阳能电池正负极短路时,电池输出的电流就是短路电流。短路电流随着光强的变化而变化,当在无光照情况下测试得到的电流值为电池的暗场电流。


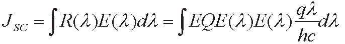
● 短路电流密度JSC:
 

太阳能电池单位面积输出的短路电流,就是短路电流密度。开路电压VOC当太阳能电池正负极开路时,电池正负极之间的电压就是开路电压。开路电压一般与电池片的材料有关,不随电池片的面积增减而变化。
 

峰值功率 Pm:
 

太阳能电池片在正常工作或测试条件下的*大输出功率,就是峰值功率。峰值功率取决于太阳辐照度、太阳光谱分布和电池片的工作温度等条件。IEC 规定标准测试条件为辐照度1000W/cm2,光谱分布符合AM 1.5G,测试温度25℃。
 

*大工作电流 Im:
 

太阳能电池片工作在峰值功率状态时的电流,就是*大工作电流。
 

*大工作电压 Vm:
 

太阳能电池片工作在峰值功率状态时的电压,就是*大工作电压。
 

填充因子 (Filling Factor,FF):填充因子是太阳能电池品质的量度,定义为实际*大输出功率与理想输出功率的比值。

FF 是太阳能电池I-V 特性曲线内所含*大功率面积与开路电压短路电流响应的矩形面积做比的量度。FF 应尽可能接近100%,但太阳能电池的p-n 结特性会阻止FF 达到1。FF 越大,电池的品质越高。太阳能电池典型的FF 值为60%-80%,并且与太阳能电池的材料与器件结构相关。

光电转化效率η:光电转换效率是太阳能电池*重要的综合特性参数,经常简称为效率。光电转换效率是太阳能电池*大输出功率与入射光功率之比。



● 光谱响应与量子效率测试(QE)
 

在太阳能电池光电性能测试中,光谱响应特性包含着太阳能电池光电转换能力等许多重要信息。它不但能反映太阳能电池内各层材料的质量,也能反映减反膜、辐照损伤和各个界面层的质量。
 

● 光谱响应(Spectral Response,SR):
 

太阳能电池的光谱响应表示对应不同波长入射光能转换成电能的能力,通常光谱响应的定义为输出电流与入射光功率之比,单位为安培每瓦特(A/W)。

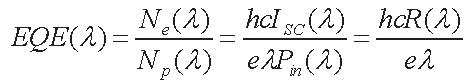
● 外量子效率(External Quantum Efficiency, EQE)
 

当不同波长的光子入射到太阳能电池的光敏区域时,光子会激发光敏材料产生电子和空穴,当有外电路时即形成电流。此时产生的电子个数与入射的光子个数之比,称为太阳能电池的外量子效率。

当上式中波长单位为nm 时,外量子效率与光谱响应有如下简化公式。

● 内量子效率(Internal quantum efficiency, IQE)
 

当不同波长的光子入射到太阳能电池的光敏区域时,被吸收的光子会激发光敏材料产生电子和空穴,当有外电路时即形成电流。此时产生的电子个数与被吸收的光子个数之比,称为太阳能电池的内量子效率。



● 光子电子转换效率(Incident Photon-to-electronConversion Efficiency,IPCE)
 

光子电子换转效率,即入射单色光子- 电子转换效率,定义为单位时间内外电路中产生的电子数与入射的单色光子数之比。IPCE 的概念更多用在光电化学类器件上,在定义上与EQE 是类似的。


● 外量子效率积分短路电流密度
 

对于太阳能电池的短路电流密度JSC,也可以通过该器件的积分外量子效率EQE 进行理论计算。


其中E(λ) 为标准太阳光谱。但是通过积分EQE 理论计算得到的JSC 可能会与I-V 特性测试系统测量得到的JSC 存在差异,产生差异的主要原因有多种,主要的可能原因是由于太阳能电池对于单色光响应的非线性度,或者测试时使用的太阳模拟器光谱辐照度与标准太阳光谱辐照度之间存在差异。