EN

应用

APPLICATION

光电探测器、太阳能电池量子效率测试系统介绍

近年来,随着全球经济发展使得能源需求剧增,传统能源因其不可再生、污染等问题逐渐被新型能源所替代,太阳能作为一种清洁、可再生能源倍受研究人员的关注。钙钛矿太阳能电池、硅基太阳能电池等作为当下的研究热点,其工艺已经相当成熟且在商用市场上占据主导地位。在该领域中,目前的研究主要集中在提高光子-电子转化效率(monochromatic Incident Photon-to-electron Conversion Efficiency,即IPCE)、降低成本和提升长期稳定性上。例如,通过改进电池结构、叠层材料、表面钝化技术和掺杂工艺等,不断挖掘太阳能电池的性能潜力。

在太阳能电池光电性能测试中,光谱响应特性包含着太阳能电池光电转换能力等许多重要信息。它不但能反映太阳能电池内各层材料的质量,也能反应减反膜、辐照损伤和各个界面层的质量。其主要参数包括:

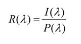
光谱响应(Spectral Responsivity,SR)

太阳能电池的光谱响应表示对应不同波长入射光能转换成电能的能力,通常光谱响应的定义为输出电流与入射光功率之比,单位为安培每瓦特(A/W)。

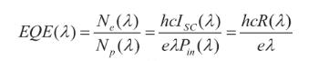
外量子效率(External Quantum Efficiency, EQE)

当不同波长的光子入射到太阳能电池的光敏区域时,光子会激发光敏材料产生电子和空穴,当有外电路时即形成电流。此时产生的电子个数与入射的光子个数之比,称为太阳能电池的外量子效率。

光子电子换转效率(IPCE)

定义为单位时间内外电路中产生的电子数与入射的单色光子数之比。IPCE 的概念更多用在光电化学类器件上,在定义上与EQE 是类似的。

内量子效率(IQE)

内量子效率(Internal Quantum Efficiency, IQE)用于衡量电池内部吸收的光子转化为可收集载流子的效率,不考虑入射光的反射损失。其计算需结合外量子效率(EQE)和表面反射率(R(λ)),具体方法如下:

IQE 反映了电池内部光吸收层的本征效率,可排除表面反射对量子效率的干扰,用于分析材料本身的光吸收和载流子收集能力。

北京快盈lV仪器有限公司,成立于1999年,是专业从事光电分析测试仪器和精密光学机械运动控制的国内**企业,可提供各种类型的光电测试解决方案,在太阳能电池、光电探测器领域可提供性能优异的测试设备,如DSR600光电探测器光谱响应度标定系统DSR300微纳器件光谱响应度测试系统DSR800瞬态光电性能测试系统DSR900相机特性参数测试系统SCS1000量子效率测试系统等等。从大面积电池到微纳结构电池,从短波紫外至远红外,从单点测试到面扫mapping可满足客户的各种实际测试需求。

25年4月,东北大学理学院交付了四套DSR测试系统(图1-2)。


(图1-2:DSR 300/600系统实拍图)

其中DSR300为专用于低维材料光电测试系统,该系统集成高精度光谱扫描,光电流扫描以及光响应速率测试。可选配不同倍率的消色差物镜、反射式紫外物镜,焦点光斑可达60μm(图3),可实现百微米器件的绝对光谱响应度测试。搭配了超高稳定性氙灯光源,光谱范围:250-1800nm,不稳定性<1%,支持长时间的连续测试。此外也可扩展连续白光激光器,皮秒脉冲激光器,卤素光源和黑体光源等等。该系统中集成了Keithley 24系列原表,测试量程从100μA到1A,分辨率高达10pA。光谱仪方面搭配了快盈lV自制的omni-λ300三光栅光谱仪,实现紫外至红外的切换,分辨率0.1nm,波长准确度±0.2nm,波长重复性±0.1nm,配备了6档自动滤光片轮,可有效消除二级谱(图4)。

(图3:DSR 300 内部实拍图)

(图4:DSR 300 选配光谱仪、光源、数据采集器)

 

图5为该DSR300系统测试标准Si电池的响应曲线:

(图5:Si电流输出)

  利用标准Si校准入射光功率后测得氧化镓复合材料的光谱响应度、IPCE/EQE、短路电流密度如下(图6):

(图6:氧化镓复合材料的IPCE)

 

下图为东北大学安装的另外两套DSR600测试系统(图7),它采用了集成化设计,将内外量子效率、光谱响应、透反射率、光束诱导电流和Mapping测试等功能集成到一套系统中,适用于各种大尺寸的光电探测器和太阳能电池如:单晶/多晶Si、铟镓磷、砷化镓、锗、量子点电池等。搭配了叠层太阳能电池专用测试暗箱,极大的太高了光电转换效率,还可添加针对不同位置的不同波长偏置光以驱动太阳能电池正常工作。

(图7:DSR 600测试系统)

其中一套系统搭配了溴钨灯光源,波长范围900-2700 nm,为了采集红外区域的微弱信号,还配备了快盈lV自制的 DCS500PA锁相放大器(图8),满偏灵敏度1nV-1V,时间常数10μS -1 KS,搭配电流放大器可采集到更加微弱的信号。

(图8 :DSR 600 选配光谱仪、光源、数据采集器)

 利用铟镓砷标准探测器采集到的溴钨灯光源如下(图9):

(图9 :InGaAs电流输出)

利用标准InGaAs探测器校准入射光功率后测得 te-IR 的光谱响应度、IPCE/EQE、短路电流密度如下(图10):

(图10: te-IR的IPCE)

针对光谱范围响应比较宽的样品,还可拓展氙灯卤素灯双光源,光谱范围250-2600nm,(图11)为氙灯+Si探测器在1100nm处切换至溴钨灯+InGaAs探测器的响应曲线:

(图11:双光源电流输出)

 

对于100mm*100mm以上较大面积的成品太阳能电池片,可以加装Mapping组件以测试量子效率、响应度等Maping数据,从Mapping数据中得到关于电池片的少子扩散情况、电池片缺陷分布信息等。

(图12:MoS2的Mapping数据)

以下例举近三年利用快盈lVDSR系统测试发表的文章,供您参考:

 

■Xiaojia  Xu,Shaoqiu  Ke,Tian  Ji.Stable Self-Powered Broadband PtSe2/Si Pin Infrared Photodetector Based on a High-Quality Ultrapure Intrinsic Si Film Exfoliated by Si/SOI Wafer Bonding[J].[2025-04-18].

■ Jie Hua , Zhuolin Zhan, Wenbo Song , Kuiyuan Gao , Jin Wang *,Efficient management of excitons in near-infrared organic light-emitting diodes employing interlayer sensitization strategy. Journal of Luminescence.Volume 282, July 2025, 121238

■ Huidong Zhang, Shuo Zhang, Xiaoyu Ji, Jingwen He, Huanxin Guo, Songran Wang, Prof. Wenjun Wu, Prof. Wei-Hong Zhu, Prof. Yongzhen Wu.Formamidinium Lead Iodide-Based Inverted Perovskite Solar Cells with Efficiency over 25 % Enabled by An Amphiphilic Molecular Hole-Transporter.09 April 2024.202401260.

■Ouyang H , Wang X , Li Y ,et al.High-performance solar-blind photodetector based on Si-doped α-Ga2O3 thin films grown by mist chemical vapor deposition[J].Journal of Alloys and Compounds, 2024, 1003(000):7.DOI:10.1016/j.jallcom.2024.175593.

■Ji, X., Zhang, S., Yu, F. et al. Efficient wide-bandgap perovskite solar cells with open-circuit voltage deficit below 0.4 V via hole-selective interface engineering. Sci. China Chem. 67, 2102–2110 (2024).

■Xiaoyu Ji1, Shuo Zhang1, Furong Yu1, Huidong Zhang1, Liqing Zhan1, Yue Hu2, WeiHong Zhu1, & Yongzhen Wu1*.Supplementary Information for Efficient wide-bandgap perovskite solar cells with opencircuit voltage deficit below 0.4 V via hole-selective interface engineering.

■Liu D , Zhang D , Wang Y ,et al.Fabricating S-scheme Sb2S3@CdSexS1–x quasi-one-dimensional heterojunction photoanodes by in-situ growth strategy towards photoelectrochemical water splitting[J].Journal of Materials Science & Technology, 2024, 201:250-260.DOI:10.1016/j.jmst.2024.02.049.

■ You J , Wang L , Zhang Y ,et al.Simulating tactile and visual multisensory behaviour in humans based on an MoS_(2) field effect transistor[J]. 2023, 16(5):7405-7412.

■ Ziyang He, Huan Liu, Fei Xie, Mingyu Bai, Shuai Wen, Jijie Zhao, Weiguo Liu, Lead Selenium Colloidal Quantum Dots for 400-2600 nm Broadband Photodetectors. Journal of Nanomaterials, vol. 2023, Article ID 2940382, 8 pages, 2023.

 ■ Yanshuang Ba, Weidong Zhu, Sunjie Huangfu, He Xi, Tianjiao Han, Tianran Wang, Dazheng Chen, Jincheng Zhang, Chunfu Zhang, Yue Hao. J. Mater. Chem. C, 2022;10, 17628-17637.

 ■ Yanshuang Ba, Xiaoping Xie, Weidong Zhu, Junxiao Ma, Gang Liu, Peng Dong, Dazheng Chen, Jincheng Zhang, Chunfu Zhang, Yue Hao. J. Mater. Chem. C, 2022,10, 3538-3546.

 ■ Qixiao Wu, Zheng Xu, S. Wageh, Ahmed Al-Ghamdi, Suling Zhao. The dynamic variation of upconversion luminescence dependent on shell Yb3+ contents in NaYF4: Yb3+,Tm3+@NaYF4: Yb3+,Er3+ nanoparticles. Journal of Alloys and Compounds, Volume 891, 2022, 162067.

 ■ Xiaoyu Zhu, Chuanlong Xu, Md. Moinul Hossain, Jian Li, Biao Zhang, Boo Cheong Khoo; Approach to select optimal crosscorrelation parameters for light field particle image velocimetry. Physics of Fluids 1 July 2022; 34 (7): 073601.

 ■ Zhang, Yu, Zilun Qin, Weiqing Nie, Ya-qi Li, Xiaomin Huo, Dandan Song, Bo Qiao, Zheng Xu, Swelm Wageh, Ahmed Al-Ghamdi and Suling Zhao. High‐Performance MAPbI3/PM6:Y6 Perovskite/Organic Hybrid Photodetectors with a Broadband Response. Advanced Optical Materials 10 (2022).

 ■ Guangcan Luo, Dan Yang, Xuxiang Guo, Yinye Yang, Shengyun Luo, Jing Zhang, Mei Long, Li Xiang, Qinghong Li, Tengfei Wang, Wei Li. Quasi-ohmic contact formation assisted by the back contact with Cu2Te nanoparticles@reduced graphene oxide composites for highly efficient CdTe solar cells. Journal of Alloys and Compounds, Volume 921, 2022, 166100.