EN

应用

APPLICATION

压力/温度双感知柔性双模态传感器研制与应用

多功能传感器

单模态传感器(如应变、温度、压力和湿度等)通常具有超高灵敏度,但为了满足人工智能、医疗健康、电子皮肤等领域对多模态耦合传感功能的需求,必须在发展单模态传感技术的基础上研究多功能传感器。电子皮肤是一种柔性集成电子装置,可模仿人体皮肤上感受器的功能。作为人体*大的器官,皮肤可以不断感知外部环境的变化,在这些变化中,压力和温度是日常生活中*重要的两个物理条件。因此,设计一种既能监测压力又能监测温度的双模传感器对电子皮肤具有重要意义。然而,如何将压力和温度传感器合理地组合成一个多功能传感器,并消除它们之间不可避免的串扰,仍然是研究人员需要克服的巨大挑战。

大连理工大学团队在柔性双模态传感器领域取得重要进展

近日,大连理工大学潘路军教授课题组在柔性双模态传感器领域取得重要进展,研究成果以“Fully inkjet-printed dual-mode sensor for simultaneous pressure and temperature sensing with high decoupling”为题发表在工程技术领域期刊《Chemical Engineering Journal》。大连理工大学袁廷康博士为文章*一作者,大连理工大学李成伟助理研究员和潘路军教授为通讯作者。

本文基于多孔聚二甲基硅氧烷(PDMS)和还原氧化石墨烯(rGO)制备了一种柔性双模态传感器。该双模态传感器不仅具有超宽检测范围(0-1000 kPa)、低压检测限(2.5 Pa)、快速响应时间(40 ms)和高循环稳定性(10,000次)等优异的压力传感能力,还能同时准确分辨出 0.2°C 的温度变化。此外,成功开发了理论公式来解释信号串扰的原因,并根据机理分析实现了对压力和温度的有效解耦。在此基础上,采用全喷墨打印方法制作了双模传感器阵列,该阵列结合了双模传感器单元的结构和共享电极的电路设计,降低了多模态传感器阵列电路布局的复杂性。*后,基于这种双模态传感器构建了一个压力-温度报警系统,以监测不同的环境变化。这项研究不仅提出了压力和温度双模态传感器的有效结构设计,还为双模传感的信号分离和解耦提供了理论解决方案。该传感器在多功能同步传感场景中具有巨大潜力。

成果展示

图1. (a)人体皮肤结构示意图。(b)具有仿生结构的柔性压力-温度双模态传感器的结构示意图。(c)利用盐模板法以及喷墨打印技术制备双模态传感器的实验过程示意图。(d)多孔PDMS 介电层的照片。(e)rGO 温度传感器的照片。(f)底部为银电极的数码照片。

图2. (a)-(c)不同比例多孔PDMS的截面SEM图像。(d)底面和(e)顶面的SEM图像。(f)孔结构、(g)底表面和 (h) rGO 纳米片的放大 SEM 图像。(i) 压力-温度双模态传感器的截面 SEM 图像。

拉曼光谱用于分析氧化石墨烯薄膜的温度传感机理,本文中的拉曼光谱数据采用北京快盈lV仪器有限公司Finder 930系列全自动化拉曼光谱分析系统检测完成。石墨烯的拉曼峰强ID/IG比值增大,说明氧化石墨烯的亲水官能团被去除,表面产生了更多的缺陷。

图3. GO和rGO的拉曼光谱。

图4. (a)基于多孔 PDMS 的电容式压力传感器的传感机制。(b)不同 PDMS/NaCl 混合比例的多孔 PDMS 压力传感器的压力传感性能。(c)不同压力梯度下的电容响应。(d) 压力传感器的快速响应和恢复时间(小于60 毫秒)。(e)压力传感器在 50 kPa 下 进行10,000 次循环的电容响应。(f)在不同频率下进行 8 kPa 负载压力的电容响应。(g) 压力传感器的超低压力检测极限(2.5 帕)。

图5. (a) rGO 纳米片的温度传感机制。(b)温度传感器的电阻响应。(c)不同静态温度梯度下的电阻响应。(d)温度传感器在 3°C 温差下的快速响应和恢复时间。(e)不同动态温度梯度循环下的电阻响应。(f)循环不同次后的稳定电阻响应。(g)温度传感器在 0.2°C 温差下的显著电阻响应。

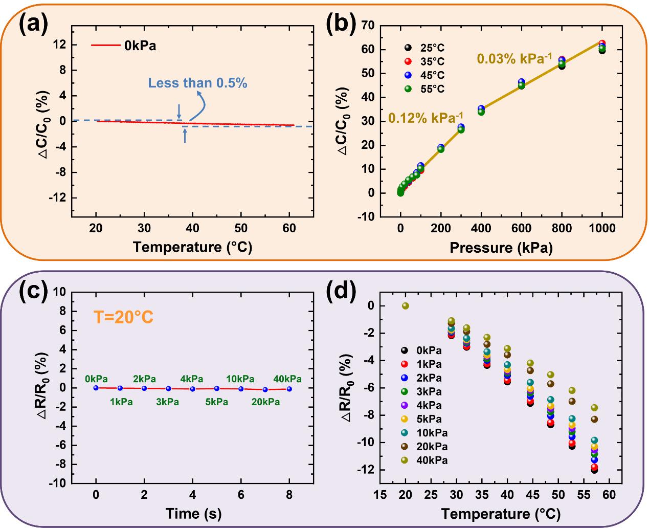
图6. (a) 双模态传感器在无负载情况下的电容随温度的变化。(b)在四种温度下,双模传感器的电容响应与负载的函数关系。(c)在 0-40 kPa 的压力下,温度传感器在20°C时的电阻响应。(d)温度传感器在不同压力下的电阻响应与温度的函数关系。

图7. (a)不同温差下电阻变化率的修正值和压力变化的关系。(b)三种温差下电阻变化率修正值与压力的拟合关系。 (c)不同压力下电阻变化率的修正值和温差的关系。(d)三种压力下电阻变化率修正值与温差的拟合关系。(e) 不同压力和温度状态下 PDMS 横向位移分布的模拟结果。(f)-(g) PDMS 在不同压力和温度条件下的横向位移模拟数据。

图8. 使用双模态传感器分别监测三种不同情况下的电容和电阻变化:(a)马克笔接触、(b)红外灯照射和(c)手指按压,并通过设计的转换应用程序获得实时温度和压力。(d) 在 3×3 传感阵列上放置一个装有热水的烧杯,不同单元的电阻和电容响应分布。

图9. 基于双模式传感器的双重监控和警报系统,可应对各种温度和压力变化。装有热水的烧杯(a)接近双模式传感器时未与之接触,(b)与双模式传感器接触。(c)盛有室温水的烧杯与双模传感器接触。(d)向放置在双模传感器上方的空烧杯中倒入热水

关于此文章的更多细节请点击以下原文链接:

https://doi.org/10.1016/j.cej.2023.145475

 

大连理工大学潘路军课题组简介

潘路军,大连理工大学物理学院教授,博士生导师。1988年于西安交通大学电气工程系电气绝缘技术专业本科毕业;1994年赴日本大阪府立大学工学部电子物理专业留学。2000年获博士学位并留校担任助理教授,其间兼任日本科学技术振兴机构(JST)及日本新能源和产业技术综合开发机构(NEDO)研究员;2007年底回国工作,受聘大连理工大学教授,博士生导师。历任物理与光电工程学院光电工程系主任、物理与光电实验中心主任、光学学科点负责人。近5年在《Advanced Functional Materials》、《Nano Energy》、《Nano-Micro Letters》、《Energy Storage Materials 》、《Chemical Engineering Journal 》、《Small》、《Carbon》等国际纳米期刊上发表论文80余篇;主编《基础光学》,参编《ディスプレイ材料と機能性色素(显示器材料和机能色素)》、《フィールドエミッションディスプレイ(场发射型显示器)》、《Handbook of Nano Carbon (纳米碳手册)》。

相关产品推荐

本研究拉曼光谱数据采用的北京快盈lV仪器有限公Finder 930系列全自动化拉曼光谱分析系统检测,如需了解产品,欢迎咨询。

产品链接:

免责声明

北京快盈lV仪器有限公司公众号所发布内容(含图片)来源于原作者提供或原文授权转载。文章版权、数据及所述观点归原作者原出处所有,北京快盈lV仪器有限公司发布及转载目的在于传递更多信息及用于网络分享。

如果您认为本文存在侵权之处,请与我们联系,会*一时间及时处理。我们力求数据严谨准确,如有任何疑问,敬请读者不吝赐教。我们也热忱欢迎您投稿并发表您的观点和见解。